https://www.tradgardsteknik.se/logotyper/bill_logo_1.png
Patric Torle
info@tradgardsteknik.se
0431-222 90
0431-222 70
Trädgårdsteknik AB tillverkar och bygger växthus, specialväxthus, orangerier, belysning Garden för hela Skandinavien.
Helsingborgsvägen 578
ÄNGELHOLM
262 96
SWEDEN

Pump flänsad pump ROVATTI FL816 180m³/h  




Pump flänsad pump ROVATTI FL816 180m³/h

 

 

Flänsar   Standard A
D
Vikt
CA 1 a 60 260 30
b 115 315 31
c 160 360 35
2 a 95 295 33
b 130 330 33
3 a 60 260 32
b 95 295 33
c 130 330 31
4 a 70 270 32
b 115 315 34
5 a 60 260 32
b 95 295 33
c 130 330 33
6 a 115 315 34
b 160 360 35
7 a 70 270 32
b 115 315 34
SB 11 115 315 32
12 **
21 144 344 32
22 **
23 147 347 34
31 144 344 32
32 **
33 147 347 34
F 1 **
2

 

 ** - Inte tillgängliga versionen
 
Q Flänsad
DN D1 D2

S

D3
DNa

PN10 /16*
100 220 180 8 19
DNm
PN 16/25*
80 200 160 8 19

* Beroende fungera pressar

 

Q Kapacitet
[m3/h] 0

60

90 120 144 168 180
[l/s] 0 16,7 25 33,3 40 46,7 50
[l/min] 0     1000     1500     2000     2400     2800

    3000

min-1 Impeller

H

[m]

N

[kW]

H

[m]

N

[kW]

H

[m]

N

[kW]

H

[m]

N

[kW]

H

[m]

N

[kW]

H

[m]

N

[kW]

H

[m]

N

[kW]

3000 E 40 8,1 40 10,9 38 12,8 36 14,8 33 16,1 29 17,1 27 17,4
F 36 6,9 36 9,5 34 11,2 32 12,9 29 14,1 25 14,8 - -
G 29 4,8 28 6,9 26 8,1 22 8,9 17 9,1 - - - -
H 26 3,9 24 5,8 22 6,8 18 7,4 13 7,4 - -

 

Q Kapacitet
[m3/h] 0

60

90 108 120 144 156
[l/s] 0 16,7 25 30 33,3 40 43,3
[l/min] 0     1000     1500     1800     2000     2400

    2600

min-1 Impeller

H

[m]

N

[kW]

H

[m]

N

[kW]

H

[m]

N

[kW]

H

[m]

N

[kW]

H

[m]

N

[kW]

H

[m]

N

[kW]

H

[m]

N

[kW]

2600 E 30 6,0 30 7,4 29 8,8 27 9,7 26 10,3 23 11,1 21 11,4
F 27 5,1 27 6,4 25 7,7 24 8,5 23 9,0 19 9,6 17 9,8
G 22 2,9 21 4,6 19 5,4 16 5,8 15 5,9 10 5,9 - -
H 20 2,4 18 3,9 16 4,6 13 4,8 11 4,9 - -

 

Q Kapacitet
[m3/h] 0

60

90 108 120 132 144
[l/s] 0 16,7 25 30 33,3 36,7 40
[l/min] 0     1000     1500     1800     2000     2200

    2400

min-1 Impeller

H

[m]

N

[kW]

H

[m]

N

[kW]

H

[m]

N

[kW]

H

[m]

N

[kW]

H

[m]

N

[kW]

H

[m]

N

[kW]

H

[m]

N

[kW]

2300 E 24 4,1 23 5,4 22 6,5 20 7,2 19 7,5 17 7,8 15 7,9
F 21 3,5 21 4,7 19 5,7 18 6,3 16 6,5 14 6,7 - -
G 18 2,0 16 3,4 14 3,9 11 4,1 9 4,1 7 4,0 - -
H 15 1,7 14 2,8 11 3,3 9 3,4 7 3,3 - -

 

Q Kapacitet
[m3/h] 0

60

90 108 120 132 180
[l/s] 0 16,7 25 30 33,3 36,7 50
[l/min] 0     1000     1500     1800     2000     2200

    3000

min-1 Impeller

H

[m]

N

[kW]

H

[m]

N

[kW]

H

[m]

N

[kW]

H

[m]

N

[kW]

H

[m]

N

[kW]

H

[m]

N

[kW]

H

[m]

N

[kW]

2000 E 18 2,7 17 3,8 16 4,6 14 5,0 12 5,2 11 5,2 - -
F 16 2,3 15 3,3 14 4,0 12 4,4 10 4,5 - - - -
G 13 1,3 12 2,3 9 2,7 6 2,7 - - - - - -
H 12 1,1 10 2,0 7 2,2 4 2,2 - - - -

 

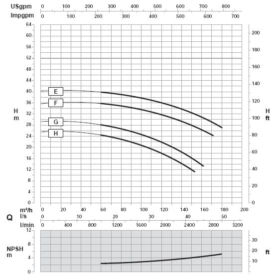
Föreställningar  3000 min-1

Q- kapacitet, H- huvud

Kurvor fastställda för vätsketäthet 1000 kg/m³
Viskositet 1 mm² /s
Temperatur 20°C
η% - Pump effektivitet
Y - Ventilförlust Returnerar ej.

Föreställningar  2600 min-1

Föreställningar  2300 min-1

Föreställningar  2000 min-1

  • Pump flänsad pump ROVATTI FL816 180m³/h
    Art. nr.
    ROV0326
    Pump flänsad pump ROVATTI FL816 180m³/h
För mer information kontakta oss på
0431-222 90


TRÄDGÅRDSTEKNIK AB
Helsingborgsv., Varalöv
262 96 ÄNGELHOLM
Telefon:
0431-222 90
Org Nr:
556409-6120
Webbadress:
www.tradgardsteknik.se
E-post:
info@tradgardsteknik.se